综合智慧能源 ›› 2025, Vol. 47 ›› Issue (12): 81-88.doi: 10.3969/j.issn.2097-0706.2025.12.009

• 综合能源系统应用 • 上一篇    

AA-CAES启动过程中膨胀机自动控制对运行稳定性的影响

文贤馗1(), 李雅琴2(), 张世海1(), 范强1(), 叶华洋1(), 谢毅颖2(), 李新卓2,*()   

  1. 1.贵州电网有限责任公司电力科学研究院,贵阳 550002
    2.长沙理工大学 能源与动力工程学院,长沙 410114
  • 收稿日期:2025-08-14 修回日期:2025-10-23 出版日期:2025-12-25
  • 通讯作者: * 李新卓(1991),男,讲师,博士,从事燃烧学和基于热力学参数的自适应调控及反应动力学方面的研究,leesin1949@163.com
  • 作者简介:文贤馗(1972),男,正高级工程师,从事储能及新能源方面的研究,13985410224@139.com
    李雅琴(2001),女,硕士生,从事燃气轮机燃烧及污染物排放方面的研究,1465970495@qq.com
    张世海(1983),男,正高级工程师,硕士,从事储能及新能源方面的研究,494350038@qq.com
    范强(1986),男,高级工程师,硕士,从事新能源建模分析与发电技术方面的研究,498363102@qq.com
    叶华洋(1993),男,工程师,博士,从事电网防灾减灾及新型电力系统储能技术方面的研究, huayangye_1@163.com
    谢毅颖(2005),男,从事能源动力火电方面的研究,2378423468@qq.com
  • 基金资助:
    贵州省科技计划项目(Qiankehe Pingtai Rencai-CXTD〔2022〕008)

Impact of expander automatic control on operational stability during AA-CAES startup process

WEN Xiankui1(), LI Yaqin2(), ZHANG Shihai1(), FAN Qiang1(), YE Huayang1(), XIE Yiying2(), LI Xinzhuo2,*()   

  1. 1. Electric Power Research Institute, Guizhou Power Grid Company Limited, Guiyang 550002, China
    2. College of Energy and Power Engineering, Changsha University of Science and Technology, Changsha 410114, China
  • Received:2025-08-14 Revised:2025-10-23 Published:2025-12-25
  • Supported by:
    Science and Technology Foundation of Guizhou Province(Qiankehe Pingtai Rencai-CXTD〔2022〕008)

摘要:

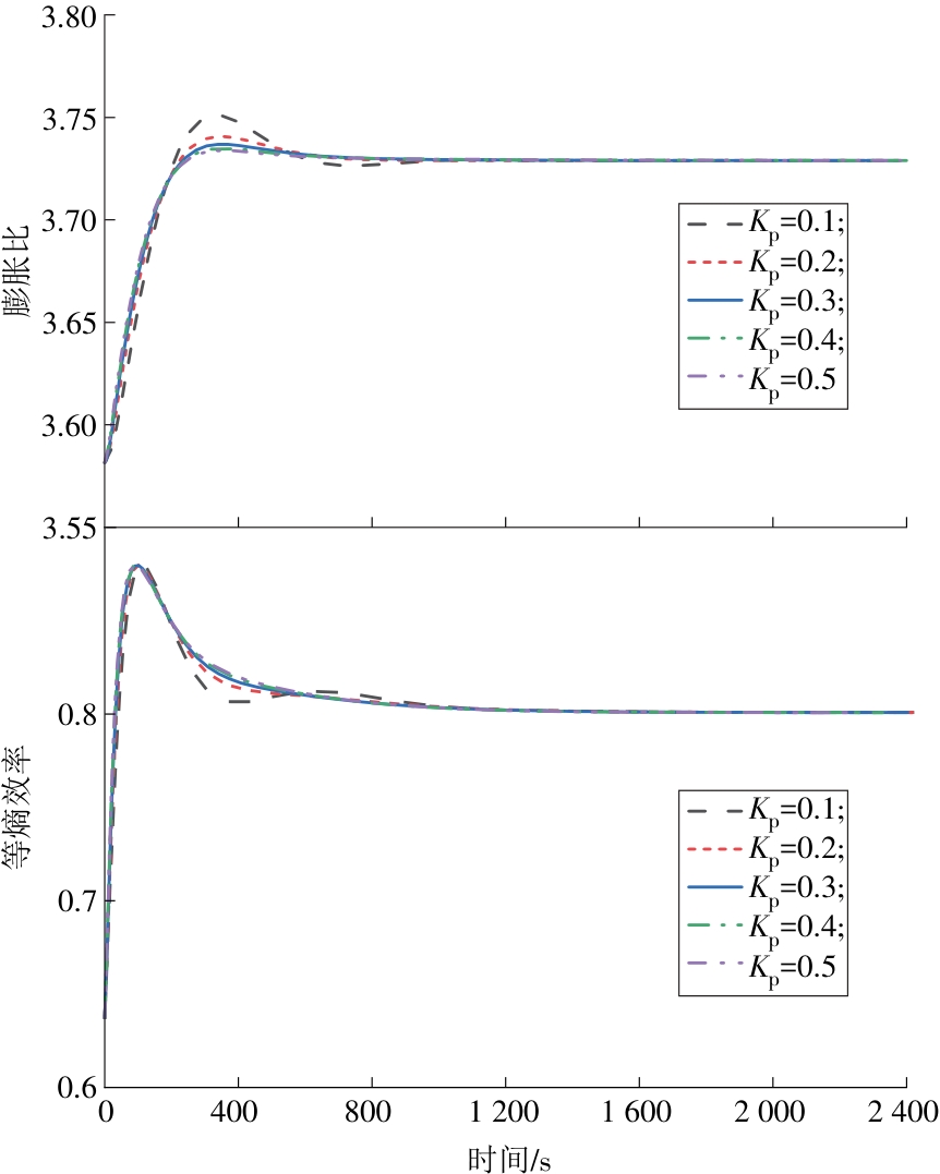
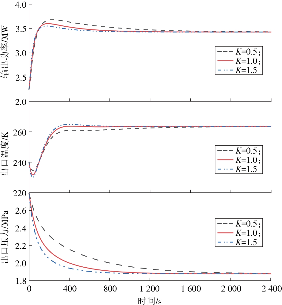
为研究先进绝热压缩空气储能(AA-CAES)系统启动过程中膨胀机运行调控策略、复杂性和稳定性,基于所建立的膨胀机释能模型,对膨胀机入口处的温度与压力参数实施比例-积分-微分(PID)控制。系统分析了压力增益系数K和温度比例系数Kp对膨胀机启动特性的影响,包括输出功率、出口温度与出口压力的动态响应以及启动过程的稳定性,从而提升系统应对关键设备突发故障的抗干扰能力。研究结果显示:K=0.5时,相较于K=1.5,其输出功率峰值高出4.2%,压力下降更为平缓,曲线变化斜率较小,表现出更好的响应平滑性;Kp=0.1时膨胀比峰值较Kp=0.5高约0.54%,而不同Kp下的等熵效率峰值一致,均达到0.88;K=1.0时,出口温度峰值最小且稳定时间最短;Kp=0.3时,等熵效率能够迅速趋于稳定。结果表明,通过合理调控PID参数可显著改善膨胀机启动性能,可为解决因关键设备故障导致的机组稳定性下降问题提供控制策略。

关键词: 先进绝热压缩空气储能系统, 膨胀机释能, PID控制, 启动稳定性, 温度比例系数, 压力增益系数

Abstract:

To investigate the operational regulation strategy, complexity, and stability of the expander during the startup process of an advanced adiabatic compressed air energy storage (AA-CAES) system, proportional-integral-derivative (PID) control was implemented on the temperature and pressure parameters at the expander inlet based on the established expander energy release model. The effects of the pressure gain coefficient K and temperature proportional coefficient Kp on the startup characteristics of the expander were systematically analyzed, including the dynamic responses of output power, outlet temperature, and outlet pressure, as well as the stability during the startup process, thereby enhancing the system's anti-interference capability to address sudden failures of key equipment. The results showed that when K=0.5, compared with K=1.5, the output power peak was 4.2% higher, the pressure decline was more gradual, and the curve slope was smaller, exhibiting better response smoothness. When Kp=0.1, the peak expansion ratio was about 0.54% higher than that when Kp=0.5, while the peak isentropic efficiency at different Kp values remained consistent, both reaching 0.88. When K=1.0, the peak outlet temperature was the smallest and the stabilization time was the shortest. When Kp=0.3, the isentropic efficiency could rapidly stabilize. The findings indicate that reasonable regulation of PID parameters can significantly improve the expander startup performance, thereby providing control strategies for solving the problem of unit stability degradation caused by key equipment failures.

Key words: advanced adiabatic compressed air energy storage system, expander energy release, PID control, startup stability, temperature proportional coefficient, pressure gain coefficient

中图分类号: