综合智慧能源 ›› 2026, Vol. 48 ›› Issue (1): 43-58.doi: 10.3969/j.issn.2097-0706.2026.01.005

• 综合智慧能源系统优化与调度 • 上一篇    下一篇

基于SC-SAC算法的REHMIS-IES优化调度策略

潘雷(), 丁云飞(), 庞毅*(), 王宇璇(), 陈建伟(), 高瑞(), 张立阳()   

  1. 天津城建大学 控制与机械工程学院,天津 300384
  • 收稿日期:2025-08-12 修回日期:2025-10-21 出版日期:2026-01-25
  • 通讯作者: *庞毅(1984),男,讲师,博士,从事综合能源系统规划方面的研究,primepang@163.com
  • 作者简介:潘雷(1981),男,教授,博士,从事新能源发电与电力电子技术、智能控制与智能系统等方面的研究,panlei4089@163.com
    丁云飞(2000),男,硕士生,从事综合能源系统、数学规划、深度强化学习等方面的研究,819667068@qq.com
    王宇璇(2001),女,硕士生,从事零能耗建筑、深度强化学习等方面的研究,1442030308@qq.com
    陈建伟(1981),女,讲师,博士,从事综合能源利用与可再生能源制氢等方面的研究,jianwei_chen1314@126.com
    高瑞(1984),男,讲师,博士,从事机器人导航与定位方面的研究,gaorui223@126.com
    张立阳(1986),男,副教授,博士,从事机器人控制与工程应用等方面的研究,zlysghr@163.com
  • 基金资助:
    天津市重点研发计划项目(25YFXTHZ00530)

Optimal scheduling strategy for REHMIS-IES based on SC-SAC algorithm

PAN Lei(), DING Yunfei(), PANG Yi*(), WANG Yuxuan(), CHEN Jianwei(), GAO Rui(), ZHANG Liyang()   

  1. School of Control and Mechanical Engineering, Tianjin Chengjian University, Tianjin 300384, China
  • Received:2025-08-12 Revised:2025-10-21 Published:2026-01-25
  • Supported by:
    Key Research and Development Project of Tianjin(25YFXTHZ00530)

摘要:

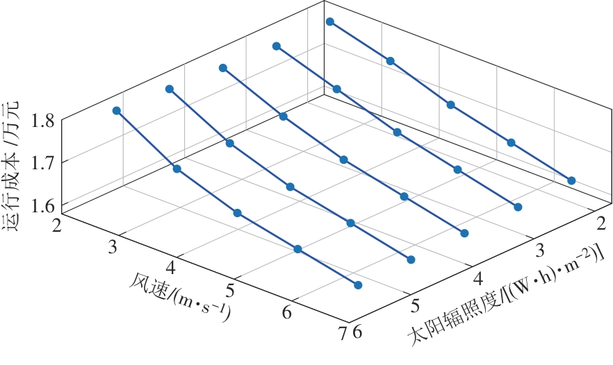
可再生能源-制氢-制甲醇一体站(REHMIS)通过利用可再生能源发电制取绿氢,并进一步将绿氢与二氧化碳合成甲醇,从而实现绿氢对传统化石能源制氢的替代。为了同时满足REHMIS的甲醇负荷需求及其配套建筑的多能源需求,设计了新型综合能源系统(IES)拓扑结构REHMIS-IES。为获得REHMIS-IES高效运行策略,提出了一种基于严格约束的软演员-评论家(SC-SAC)算法执行框架。将所建数学模型转化为马尔可夫决策过程,同时引入状态约束机制(SCM)以避免储能系统状态出现剧烈波动。在SC-SAC算法的执行阶段,将训练后的Q网络与动作约束转化成混合整数线性规划(MILP)模型,以保证调度决策能够满足各项运行约束。多场景仿真结果表明:所提系统在保障多能需求的同时可有效降低运行成本;与其他深度强化学习算法相比,SC-SAC算法可使系统能量不平衡度降低约16.2%,运行成本至少下降11.7%。

关键词: 可再生能源-制氢-制甲醇一体化站, 绿氢, 储能, 综合能源系统, 深度强化学习, 状态约束机制, 软演员-评论家算法, 混合整数线性规划

Abstract:

The renewable energy-hydrogen-methanol integrated station(REHMIS) produces green hydrogen using electricity generated from renewable energy sources, and further synthesizes methanol from the green hydrogen and carbon dioxide, thereby achieving the substitution of green hydrogen for hydrogen produced from conventional fossil fuels. To simultaneously meet the methanol load demand of REHMIS and the multi-energy demand of its supporting buildings, a novel integrated energy system(IES) topology named REHMIS-IES was designed. To obtain an efficient operation strategy for REHMIS-IES, an execution framework based on the strictly constrained soft actor-critic(SC-SAC) algorithm was proposed. The established mathematical model was transformed into a Markov decision process, and a state constraint mechanism(SCM) was incorporated to prevent drastic fluctuations in the state of the energy storage system. In the execution stage of the SC-SAC algorithm, the trained Q-network and action constraints were transformed into a mixed-integer linear programming(MILP) model to ensure that scheduling decisions could comply with all operational constraints. The results from multi-scenario simulations showed that the proposed system could effectively reduce operating costs while meeting multi-energy demands. Compared with other deep reinforcement learning algorithms, the SC-SAC algorithm could lower the system energy imbalance by approximately 16.2% and reduce operating costs by at least 11.7%.

Key words: renewable energy-hydrogen-methanol integrated station, green hydrogen, energy storage, integrated energy system, deep reinforcement learning, state constraint mechanism, soft actor-critic algorithm, mixed-integer linear programming

中图分类号: